Historically, this approach was first proposed in the nineteen seventies and then extended in many works. Dynamic programming algorithms have been used for both feature- and intensity-based stereo. They implement the maximum likelihood or Bayesian decision rules derived from particular probability models of stereo images and desired 3-D surfaces (in terms of 2-D epipolar profiles). Generally, only a single continuous optical surface is assumed resulting in the ordering constraint along each pair of the conjugate epipolar scan-lines. In accord with the ordering constraint, the corresponding pixels are in the same order along the conjugate scan-lines.
The profile models can account for symmetry of stereo channels, visibility of 3-D points, and image discontinuities due to occlusions in each channel. Basic nonuniform image distortions can also be taken into account. Partial occlusions of surface points impose the visibility constraint on x-disparities along an epipolar profile in the symmetric coordinates (x,d) (see Figure 2):
|
|
| Figure 3: Graph of profile variants (GPV) and admissible transitions for the visibility states. | |
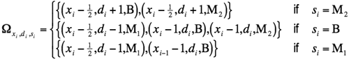
The Markov chain model with a stationary probability distribution describes the expected shape and smoothness of a profile by transition and marginal probabilities of the visibility states. This allows for probabilistic ordering of the profile variants in Figure 2 that have the same similarity with respect to image signals. Let Pr(v|v′) be a probability of transition from a preceding node v′ to a current node v. The differences x−x′ and d−d′ between the x-coordinates and x-disparities in these GPV-nodes are uniquely specified by the visibility states s and s′. Therefore, the transition probabilities can be denoted as Pr(s|s′).

The GPV in Figure 4 with a narrow "tube" of x-disparities demonstrates both the uniform internal transitions and specific uppermost/lowermost transitions to ensure the equilibrium conditions are preserved in all the nodes. Let M substitute for M1 or M2 so that the transition probabilities are Pr(B|B) = p(B|B); Pr(M1|B) = Pr(M2|B) = p(M|B); Pr(B|M1) = Pr(B|M2) = p(B|M); Pr(M1|M1) = Pr(M2|M2) = p(M|M), and Pr(M1|M2) = p0(M|M). The equilibrium conditions suggest that each node in a profile has the same marginal probability of the visibility state Pr(B). Thus the transition probabilities and the resulting marginal probabilities of the visibility states in the profiles are expressed in terms of the two transition probabilities p(B|M) and p(M|B) as follows:
Return to the local table of contents
Return to the global table of contents
Let a symmetric photometric model specify local signal distortions in the images g1 and g2 with respect to the unobserved "ideal" cyclopean, or ortho-image g of a 3-D scene. These local distortions are described by positive transfer factors a varying over the field of view of each camera and by random noise N of signal sensors:
The transfer factors represent most regular part of image distortions that cannot be independent for adjacent binocularly visible points (BVP) in order to retain visual resemblance between the pair of images. Their interdependencies are roughly described with a symmetric difference model assuming a limited direct proportion between each grey level difference in the adjacent cyclopean BVPs and the two corresponding noiseless differences in the stereo images, i.e. the differences if the additive noise is absent:
.
Assuming that both the ortho-image signals g and the image random noise N1, N2 are statistically independent, the above difference model results in a Markov chain of image signals corresponding to the successive BVPs and in the independent image signals corresponding to the MVPs along a given profile, respectively. Under a given surface geometry, different statistical estimates of the ortho-image g and transfer factors a1, a2 can be derived on the basis of particular assumptions about the random noise probability distributions and the transfer factors variations. The estimates involve the corresponding image signals for the BVPs. The match between the estimated cyclopean, or ortho-image and the initial stereo images to within a given range of the transfer factors provides a theoretically justified part of a quantitative intensity-based similarity measure for stereo images. A heuristic regularising part of the measure corresponds to the MVPs because the difference model does not suggest how to estimate image distortions for the MVPs. These estimates need additional prior assumptions about the links between the MVPs and the neighboring BVPs.
Return to the local table of contents
Return to the global table of contents
For brevity, the coordinate y is omitted below. Let d = ((xi,di,si): i = 1,2,…,n) denote a digital profile with n successive nodes in a GPV (here, i is a serial number of a GPV-node along the profile). Let g = (gi : i = 1,2,…,n), g1 = (g1:i : i = 1,2,…, n1), and g2 = (g2:i : i = 1,2,…,n2), be sequences of the ortho-image, left image, and right image signals for the profile d, respectively. Here, for brevity, gi denotes gxi, g1:i denotes g1:xi+di/2, and g2:i denotes g2:xi−di/2.
For the assumed image model, the dissimilarities of the corresponding signals from the cyclopean signal in the GPV-node with the visibility state B are |g1:i − a1:igi| and |g1:i − a1:igi| where (a1:i, a2:i: i = 1,2,…,n) is a sequence of the transfer factors. Given these factors, the simplest estimate of the unknown cyclopean signal is obtained by minimising the maximal of the two node-wise dissimilarities:
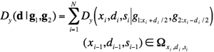
The total signal dissimilarity for a profile d is
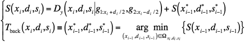
Dynamic programming (DP) exhausts all the profiles under the constraints Ω and finds the profile giving the global minimum of the total dissimilarity. The search involves a successive pass along the x-axis of the GPV. At any current location xi, all the possible GPV-nodes (xi,di,si) are examined in order to calculate and store, for each node, the local, potentially optimal (provided that this node belongs to the optimum solution) backward transition to one of the preceding nodes specified by the set Ω. Let S(xi,di,si) denote the sum of signal dissimilarity values along the whole potentially optimum backward path for every node (xi,di,si) where i = 1, 2, …, n; di = dmin, dmin+1, …, dmax, and si = M1, B, M2. Then the basic recurrent DP computation is as follows:
After passing a given range of the x-coordinates, the optimal profile minimising the total signal dissimilarity is recovered by the backward pass using the stored potentially optimal backward transitions:
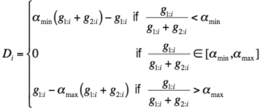
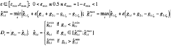
Spatial interdependence of the transfer factors along the profile is more naturally taken into account if one chooses the floating rather than fixed range of the factor for each point i depending on the neighbouring factor along the profile. The floating range constrains deviations of the differences between the cyclopean signals in neighbouring BVPs along the profile transferred to the images (below, i′B is the index of the preceding BVP being closest to the BVP i):
.
Because the floating range varies along every potentially optimal solution, the global minimisation cannot be attained. But the DP algorithm can still approximately minimise the resulting total dissimilarity, too. Figures below exemplify results of the symmetric DP stereo algorithm applied to the stereo pair "Newspaper" of size 256×384:
|
|
| Left and right images of the pair "Newspaper" (the canonical stereo geometry). | |
|
|
|
Reconstructed digital disparity map (after median smoothing in the
moving 7×3 window) and the corresponding cyclopean image. | |